Matura 2023. Język angielski. ODPOWIEDZI + ARKUSZE CKE

W drugim dniu matur abiturienci mierzyli się z językiem angielskim na poziomie podstawowym. Egzaminy zakończyły się o godzinie 11:00. Chwilę po godzinie 14:00 CKE opublikowała natomiast arkusze z zadaniami z tegorocznego egzaminu. Mamy już odpowiedzi na wszystkie zadania z matury z języka angielskiego w nowej formule. Sugerowane rozwiązania testu opracowane przez nauczyciela znajdują się poniżej.

Matura 2023. Mamy odpowiedzi z języka angielskiegoMatura 2023. Mamy odpowiedzi z języka angielskiego
Źródło zdjęć: © CKE | TOMASZ RADZIK

Do matury z angielskiego przystąpiło blisko 270 tysięcy osób. Abiturienci mierzyli się z czterema typami zadań: słuchaniem, czytaniem, tworzeniem form pisemnych oraz zagadnieniami gramatyczno-językowymi.

Treści niektórych zadań, które w tym roku znalazły się w arkuszach pojawiły się jeszcze przed zakończeniem egzaminów - jak wskazywali zdający, matura z angielskiego w obu formułach była łatwa - nie mieli problemu ze wskazaniem odpowiedzi.

Matura angielski - odpowiedzi. Sugerowane rozwiązania ekspertów

W Wirtualnej Polsce publikujemy sugerowane odpowiedzi na zadania z matury z języka angielskiego. Egzamin był rozwiązywany na bieżąco przez naszą specjalistkę. Podajemy sugerowane odpowiedzi dla nowej formuły 2023.

Na maturze z języka angielskiego abiturienci musieli sobie poradzić między innymi z napisaniem e-maila do kolegi z Anglii, uzupełnieniem minidialogów tak, aby otrzymać spójny tekst czy przetłumaczeniem fragmentów zdań na język angielski. Jakie są poprawne odpowiedzi na te i inne pytania? Mamy rozwiązania. Znajdziecie je poniżej.

Matura 2023. Język angielski. Odpowiedzi - zadania 1-3

Matura 2023. Język angielski. Odpowiedzi zadanie 1. Usłyszysz dwukrotnie wywiad z archeologiem. Zaznacz znakiem X, które zdania są zgodne z treścią nagrania (T – True), a które nie (F – False).

Matura 2023. Język angielski. Odpowiedzi zadanie 2.Usłyszysz dwukrotnie pięć wypowiedzi związanych z domami. Do każdej wypowiedzi (2.1.–2.5.) dopasuj odpowiadające jej zdanie (A–F). Wpisz rozwiązania do tabeli. Uwaga: jedno zdanie zostało podane dodatkowo i nie pasuje do żadnej wypowiedzi.

Odpowiedzi z matury z angielskiego
Odpowiedzi z matury z angielskiego © WP

Matura 2023. Język angielski. Odpowiedzi zadanie 3.Usłyszysz dwukrotnie trzy teksty. Z podanych odpowiedzi wybierz właściwą, zgodną z treścią nagrania. Zakreśl jedną z liter: A, B albo C.

Matura, odpowiedzi z języka angielskiego
Matura, odpowiedzi z języka angielskiego © Licencjodawca

Matura 2023. Język angielski. Odpowiedzi - zadania 4-7

Matura 2023. Język angielski. Odpowiedzi zadanie 4. Przeczytaj tekst. Dobierz właściwy nagłówek (A–F) do każdej oznaczonej części tekstu (4.1.–4.4.). Wpisz odpowiednią literę w każdą kratkę. Uwaga: dwa nagłówki zostały podane dodatkowo i nie pasują do żadnej części tekstu.

Odpowiedzi język angielski. Matura 2023
Odpowiedzi język angielski. Matura 2023 © CKE
Matura z języka angielskiego ODPOWIEDZI
Matura z języka angielskiego ODPOWIEDZI © CKE

Matura 2023. Język angielski. Odpowiedzi zadanie 5. Przeczytaj cztery teksty (A–D). Wykonaj zadania 5.1.–5.7. zgodnie z poleceniami.

Matura 2023. Język angielski. Odpowiedzi
Matura 2023. Język angielski. Odpowiedzi © CKE
Matura 2023. Odpowiedzi język angielski
Matura 2023. Odpowiedzi język angielski © CKE

Odpowiedzi zadanie 5. Dopasuj do każdego zdania właściwy tekst (A–D). Wpisz rozwiązania do tabeli. Uwaga: jeden tekst nie pasuje do żadnego zdania.

Matura 2023. Odpowiedzi
Matura 2023. Odpowiedzi © CKE

Matura 2023. Język angielski. Odpowiedzi zadanie 5. cd. Przeczytaj wiadomość Michaela do Alice. Uzupełnij luki 5.4.–5.7. zgodnie z treści tekstów A–D, tak aby jak najbardziej precyzyjnie oddać ich sens. Luki należy uzupełnić w języku angielskim. Uwaga: w każdą lukę można wpisać maksymalnie trzy wyrazy.

Matura z angielskiego, odpowiedzi
Matura z angielskiego, odpowiedzi © CKE

Matura 2023. Język angielski. Odpowiedzi zadanie 6. Przeczytaj tekst. Z podanych odpowiedzi wybierz właściwą, zgodną z treścią tekstu. Zakreśl jedną z liter: A, B, C albo D.

Matura z angielskiego. Odpowiedzi
Matura z angielskiego. Odpowiedzi © CKE

Matura 2023. Język angielski. Odpowiedzi zadanie 6.

Matury, język angielski, odpowiedzi
Matury, język angielski, odpowiedzi © CKE

Matura 2023. Język angielski. Odpowiedzi zadanie 7. Przeczytaj tekst, z którego usunięto cztery zdania. Wpisz w każdą lukę (7.1.–7.4.) literę, którą oznaczono brakujące zdanie (A–E), tak aby otrzymać spójny i logiczny tekst. Uwaga: jedno zdanie zostało podane dodatkowo i nie pasuje do żadnej luki.

Matura, język angielski. Mamy odpowiedzi
Matura, język angielski. Mamy odpowiedzi © WP

Matura 2023. Język angielski. Odpowiedzi - zadania 8-11

Matura 2023. Język angielski. Odpowiedzi zadanie 8. Uzupełnij poniższe minidialogi (8.1.–8.3.). Wybierz spośród podanych opcji brakującą wypowiedź lub fragment wypowiedzi, tak aby otrzymać spójny i logiczny tekst. Zakreśl jedną z liter: A, B albo C.

Matura. Język angielski - odpowiedzi
Matura. Język angielski - odpowiedzi © WP

Matura 2023. Język angielski. Odpowiedzi zadanie 9. W zadaniach 9.1.–9.4. spośród podanych wyrazów wybierz ten, który poprawnie uzupełnia luki w obu zdaniach. Zakreśl jedną z liter: A, B albo C.

Matura. Odpowiedzi z języka angielskiego
Matura. Odpowiedzi z języka angielskiego © WP

Matura 2023. Język angielski. Odpowiedzi zadanie 10. Przeczytaj tekst. Uzupełnij każdą lukę (10.1.–10.3.) jednym wyrazem, tak aby powstał spójny i logiczny tekst. Wymagana jest pełna poprawność gramatyczna i ortograficzna wpisywanych wyrazów.

Matura z języka angielskiego. Odpowiedzi
Matura z języka angielskiego. Odpowiedzi © WP

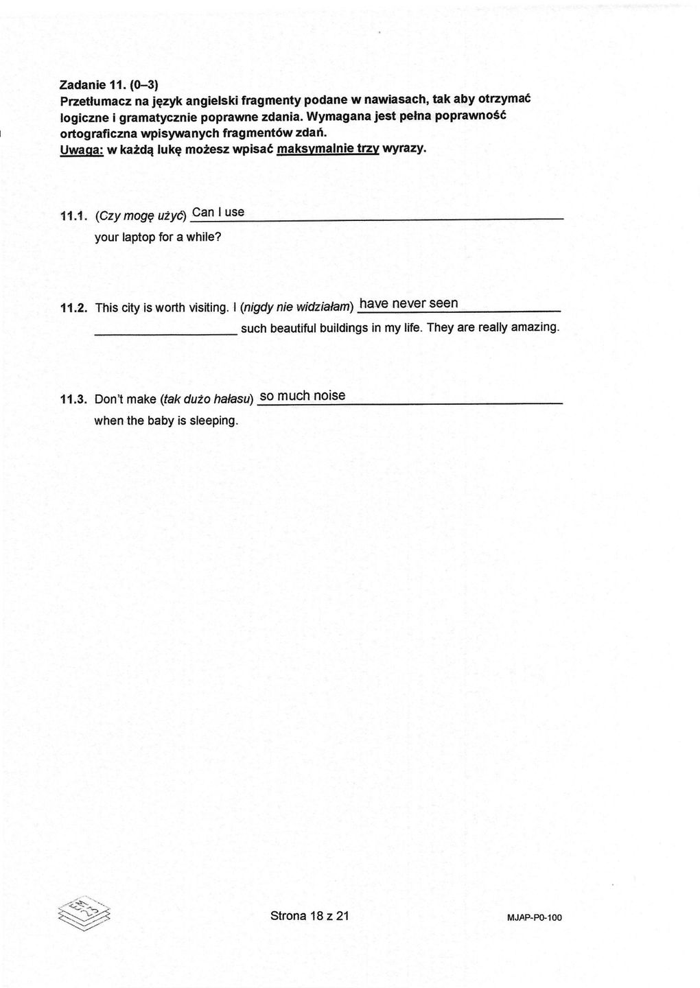
Matura 2023. Język angielski. Odpowiedzi zadanie 11. Przetłumacz na język angielski fragmenty podane w nawiasach, tak aby otrzymać logiczne i gramatycznie poprawne zdania. Wymagana jest pełna poprawność ortograficzna wpisywanych fragmentów zdań. Uwaga: w każdą lukę możesz wpisać maksymalnie trzy wyrazy. 11.1.

Matura z angielskiego. Odpowiedzi
Matura z angielskiego. Odpowiedzi © WP

Matura. Język angielski - Odpowiedzi. Co z ostatnim zadaniem?

Maturzyści do rozwiązania mieli jeszcze jedne zadanie - musieli napisać e-mail. Treść zadania brzmiała:

W ubiegłym tygodniu wygrałeś(-aś) konkurs fotograficzny dla młodzieży. W e-mailu do kolegi z Anglii:

  • wyjaśnij powody uczestnictwa w tym konkursie
  • opisz, co przedstawia Twoje zwycięskie zdjęcie
  • zrelacjonuj przebieg wręczania nagród
  • zachęć kolegę do udziału w konkursie fotograficznym w przyszłym roku i napisz, w jaki sposób pomożesz mu przygotować się do tego konkursu.

Poprawna odpowiedź - wedle polecenia na maturze z języka angielskiego - powinna rozwijać każdy z czterech podpunktów, tak, aby osoba nieznająca polecenia w języku polskim uzyskała wszystkie wskazane w nim informacje. Długość wypowiedzi powinna wynosić od 80 do 130 wyrazów (nie licząc wyrazów podanych na początku wypowiedzi).

Oceniane były:

  • umiejętność pełnego przekazania informacji (5 punktów),
  • spójność i logika wypowiedzi (2 punkty),
  • zakres środków językowych(3 punkty)
  • poprawność środków językowych (2 punkty)

Matura 2023. ChatGPT poprawnie wytypował odpowiedzi

Maturę z języka angielskiego daliśmy do rozwiązania narzędziu ChatGPT. Sztuczna inteligencja świetnie poradziła sobie zadaniami.

Nie zlecaliśmy ChatowiGPT wygenerowania e-maila (zadanie 12.) i rozwiązania zadań wymagających słuchania (Zadania 1-3.) a mimo to zdobył aż 32 punkty. Wytypował ponad 90 procent poprawnych odpowiedzi na wybranych zadaniach matury z j. angielskiego. Pomylił się tylko raz.

Poprawnie dopasowywał nagłówki do przedstawionych mu tekstów i uzupełniał luki w treści wiadomości. Dobrze dopisywał także usunięte części zdania.

Matura angielski 2023. Arkusze CKE

Arkusze CKE z języka angielskiego zawierają wszystkie zadania, z którymi w tym roku mierzyli się abiturienci. Dodatkowo udostępnione zostały transkrypcje oraz nagrania, na podstawie których uczniowie rozwiązywali część zadań. Jak wyglądają zadania z matury z angielskiego w formule 2023? Oto arkusze:

Czy matura to "bzdura"?

Dalsza część artykułu pod materiałem wideo

Matury 2023. W poniedziałek kolejny egzamin

Przed tegorocznymi maturzystami ostatni z egzaminów na poziomie podstawowym. W poniedziałek 8 maja o godzinie 9:00 rozpocznie się matura z matematyki. Dodatkowo absolwenci szkół średnich będą musieli przystąpić do co najmniej jednego a maksymalnie sześciu przedmiotów na poziomie rozszerzonym oraz do dwóch egzaminów ustnych bez określania poziomu - z języka polskiego oraz języka obcego nowożytnego. Matury 2023 zakończą się we wtorek 23 maja.

Bądź na bieżąco z wydarzeniami w Polsce i na wojnie w Ukrainie klikając TUTAJ.

Wybrane dla Ciebie

Cenckiewicz bez dostępu do niejawnych spotkań. Nie ma certyfikatu
Cenckiewicz bez dostępu do niejawnych spotkań. Nie ma certyfikatu
12-latka na hulajnodze potrącona na pasach. Jest nagranie
12-latka na hulajnodze potrącona na pasach. Jest nagranie
Zaatakował nożem podczas awantury. Właściciel wypożyczalni oskarżony
Zaatakował nożem podczas awantury. Właściciel wypożyczalni oskarżony
Klaudia Jachira zawieszona w KO. Mówi o kulisach decyzji
Klaudia Jachira zawieszona w KO. Mówi o kulisach decyzji
Coraz goręcej przed wyborami. Rząd Orbana oskarża Ukrainę o ingerencję
Coraz goręcej przed wyborami. Rząd Orbana oskarża Ukrainę o ingerencję
Miedwiediew reaguje na słowa Trumpa. Znowu straszy Europę
Miedwiediew reaguje na słowa Trumpa. Znowu straszy Europę
"Ohydny czyn". Atak nożownika na nową burmistrz w Niemczech
"Ohydny czyn". Atak nożownika na nową burmistrz w Niemczech
"Problemem nie jest to, że wysadzono Nord Stream". Ostre słowa Tuska
"Problemem nie jest to, że wysadzono Nord Stream". Ostre słowa Tuska
Wiadomo, kiedy Polacy wrócą z Izraela. Jest data
Wiadomo, kiedy Polacy wrócą z Izraela. Jest data
"Mikroszantażyk" Hołowni. Koalicjanci zirytowani warunkami marszałka
"Mikroszantażyk" Hołowni. Koalicjanci zirytowani warunkami marszałka
Hołownia. Wysoki? Na pewno. Komisarz? Niekoniecznie [OPINIA]
Hołownia. Wysoki? Na pewno. Komisarz? Niekoniecznie [OPINIA]
Ciała nad rzeką. Kobieta przed śmiercią wykonała dwa telefony
Ciała nad rzeką. Kobieta przed śmiercią wykonała dwa telefony