Nieruchomości za 5 tysięcy złotych? Takie okazje tylko w Lasach Państwowych

Przez ponad pięć ostatnich lat Lasy Państwowe sprzedały 2039 "nieruchomości mieszkalnych". Jak wynika z zestawienia, do którego dotarła Wirtualna Polska, obiekty były sprzedawane najczęściej z maksymalną bonifikatą 95 proc. Można je było więc kupić za kilka tysięcy złotych. Co ciekawe - ich nabywcami oprócz pracowników Lasów oraz ich rodzin, były także przypadkowe osoby. Resort środowiska nie ujawnia danych.

Jak ujawnił resort klimatu, przez ponad 6 lat miało miejsce ponad 2 tys. transakcji nieruchomości Lasów PaństwowychJak ujawnił resort klimatu, przez ponad 6 lat miało miejsce ponad 2 tys. transakcji nieruchomości Lasów Państwowych
Źródło zdjęć: © East News | Piotr Kamionka
Sylwester Ruszkiewicz

O sprawie wykupu nieruchomości przez leśników zrobiło się głośno pod koniec marca. Jak ujawniły media, dyrektor Lasów Państwowych Andrzej Konieczny za 110-metrowy, odnowiony dom w miejscowości Pomorze na Podlasiu zapłacił 9420 zł, choć ten wyceniany był na 188,4 tys. zł.

Zanim Konieczny kupił tę nieruchomość, wynajmował ją od Nadleśnictwa Pomorze za symboliczne 387 zł miesięcznie. Dyrektor generalny Lasów Państwowych skorzystał z 95-proc. bonifikaty, która przysługuje pracownikom LP. Jak argumentował, zakup nieruchomości był wielkim marzeniem jego syna, który się w tym domu urodził. Kilka dni później stracił swoje stanowisko.

Nieruchomości za bezcen? Poseł opozycji pyta o koszty

W sprawie interweniował wówczas poseł Koalicji Obywatelskiej Michał Jaros, który w piśmie do Ministerstwa Klimatu i Środowiska podkreślał, że "niezrozumiałe jest to, że wartościowe nieruchomości sprzedawane są za bezcen”.

- Obawiam się, że nie jest to odosobniony przypadek – twierdził poseł Michał Jaros. Polityk w swojej interpelacji do resortu klimatu pyta m.in. o liczbę nieruchomości, które w latach 2015-2021(do kwietnia) zostały sprzedane przez Lasy Państwowe, łączną wartość sprzedanych nieruchomości, o przyznane bonifikaty, a także o stanowiska pracowników Lasów, którym nieruchomości zostały sprzedane.

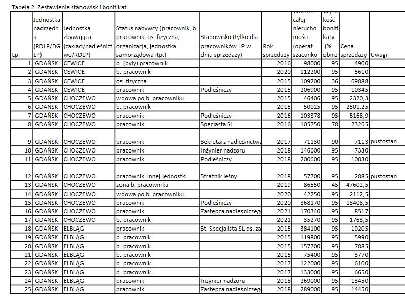
Transakcje w gdańskim oddziale Lasów Państwowych
Transakcje w gdańskim oddziale Lasów Państwowych © Archiwum prywatne | archiwum prywatne

Zgodnie z przepisami, Lasy mogą sprzedawać nieprzydatne nieruchomości (domy, leśniczówki, mieszkania, gajówki i grunty wraz z zabudowaniami). Cena sprzedaży lokalu "podlega łącznemu obniżeniu o 6 proc. za każdy rok zatrudnienia i o 3 proc. za każdy rok najmu tego lokalu, nie więcej jednak niż o 95 proc.".

Jak wynika z odpowiedzi wiceministra klimatu i środowiska Edwarda Siarki, przez ponad sześć lat Lasy Państwowe sprzedały 2039 nieruchomości. A ich wartość, przed przyznaniem bonifikat, wyniosła ponad 300 milionów złotych.

"Łączna wartość nieruchomości mieszkalnych sprzedanych w latach 2015-2020 oraz do końca kwietnia 2021 roku, wynikająca z operatów szacunkowych sporządzanych przed sprzedażą przez rzeczoznawców majątkowych, wynosi 307 491,69 tys. zł” – informuje wiceminister Edward Siarka.

Z zestawienia obejmującego poszczególne oddziały regionalne LP wynika, że najczęściej udzielaną bonifikatą, była ta największa – sięgająca 95 procent. Na 2039 transakcji objęto nią aż 1658. Drugą w kolejności bonifikatą 45 proc. objęto "jedynie" 67 zakupów przez leśników.

Kto nabywał państwowe nieruchomości? Resort danych nie ujawnia. Wymienia za to stanowiska osób, które dokonały zakupu.

Na liście są m.in. pracownicy, byli pracownicy, dzieci byłych pracowników, żony i wdowy po pracownikach. A w grupie pracowników Lasów są m.in.: leśniczy, podleśniczy, główna księgowa, inżynier nadzoru, sekretarz i strażnik leśny. W zestawieniu nie brakuje również oryginalnych transakcji.

W 2017 roku specjalista ds. marketingu w katowickim oddziale LP nabył w Strzelcach Opolskich nieruchomość wartą 99 246 zł. Z bonifikatą 95 proc. zapłacił 9550 zł.

W tym samym oddziale, rok później osoba pracująca na stanowisku kasjera nabyła nieruchomość w Węgierskiej Górce wartą 101 648 zł. Z bonifikatą 95 proc. zapłaciła 7 tys. zł.

W 2020 r. w radomskim oddziale LP robotnik pomocniczy nabył w Przysusze nieruchomość za 4990 zł (95 proc. bonifikaty). Jej wartość wcześniej oszacowano na 98 266 zł.

Z kolei w szczecińskim oddziale LP kierowca samochodu nabył w 2016 r. w Sulęcinie nieruchomość za 7,2 tys. zł. Również otrzymał maksymalną bonifikatę.

Bonifikaty? Ministerstwo mówi o przepisach

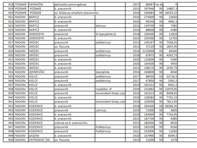
Najdroższą transakcję przeprowadzono w Regionalnym Oddziale Lasów Państwowych w Radomiu, gdzie w 2016 roku podleśniczy nabył z 95 proc. bonifikatą nieruchomość wartą 1 121 000 zł za 60,5 tys. zł. Z zestawienia wynika, że nieruchomość znajduje się w Grójcu.

W tym samym roku naczelnik w Katowicach nabył nieruchomość, której wartość szacowano na ponad 770 tys. zł. Zapłacił, uwzględniając maksymalną bonifikatę, 38,5 tys. zł.

Transakcje w katowickim oddziale Lasów Państwowych
Transakcje w katowickim oddziale Lasów Państwowych © Archiwum prywatne | archiwum prywatne

"Bonifikaty przy sprzedaży nieruchomości mieszkalnych były zastosowane we wszystkich przypadkach, w których Lasy Państwowe były zobowiązane przepisami ustawy o lasach. Wysokość bonifikat określono zgodnie z ww. ustawą” – twierdzi w piśmie wiceminister klimatu i środowiska Edward Siarka.

Jak argumentuje wiceminister, jedną z podstawowych przyczyn sprzedaży mieszkań z zasobów Lasów Państwowych jest ograniczenie kosztów utrzymania lokali.

"Były one masowo budowane w czasach, kiedy uprawnienia do nieodpłatnych mieszkań służbowych były powszechne i obejmowały ogół pracowników. W efekcie kilku nowelizacji ustawy grupa pracowników, którym przysługuje nieodpłatne mieszkanie z zasobów Lasów Państwowych została ograniczona wyłącznie do leśniczych i nadleśniczych. W efekcie dotychczasowe mieszkania funkcyjne traciły swój status i stały się przedmiotem najmu. Podlegały także stopniowej sprzedaży, o ile zakwalifikowano je jako nieprzydatne dla prowadzenia gospodarki leśnej” – zapewnia Siarka.

Osoby fizyczne i osoby obce na liście transakcji

W zestawieniu resortu środowiska, oprócz pracowników Lasów Państwowych, którzy nabyli nieruchomość, występuje bardzo duża liczba przypadkowych osób. W większości przypadków sprzedaży takim osobom resort nie ujawnia szczegółów. Poza drobnymi wyjątkami, np. w Lidzbarku taka osoba nabyła lokal, dzięki temu, iż była "najemcą, który w dniu śmierci pracownika zamieszkiwał razem z nim”.

Wśród danych obejmujących lata 2015-2021 (do kwietnia) jest również bardzo dużo transakcji przeprowadzonych na nieruchomościach, których wartość szacunkowa przekraczała 150 tys. zł. A jak ujawnił onet.pl, według przepisów przyjętych w 2016 r. leśnicy mogli wnioskować o wykup nieruchomości, których wartość nie przekraczała 100 tys. zł netto.

W listopadzie 2019 r. kierownictwo LP zmieniło limit, pozwalając na składanie wniosków na posiadłości, których wartość wynosi 150 tys. zł netto. Decyzja ta została cofnięta 9 stycznia 2020 r. — w przepisach znów pojawił się limit 100 tys. netto.

Po ujawnieniu informacji o zakupie domu przez byłego już dyrektora Lasów Państwowych, poseł Koalicji Polskiej - PSL Jacek Protasiewcz zapowiedział złożenie wniosku o przeprowadzenie kontroli NIK w Lasach Państwowych.

Stanowisko Lasów Państwowych

"Możliwość zakupu lokalu z bonifikatą za kwotę 5000 zł nie dotyczy wyłącznie Lasów Państwowych. Od 2000 r. przepisy umożliwiają uzyskanie zniżek w wysokości 95 proc. również w przypadku innych podmiotów państwowych. Nie można z pojedynczego przypadku robić reguły.

Andrzej Konieczny, dyrektor generalny Lasów Państwowych, nabył lokal służbowy w zabudowie bliźniaczej. Lokal nie był odnowiony. 10-letnie nakłady na remonty wyniosły jedynie 583,53 zł. Czynsz za najem tego lokalu został ustalony wg regulacji obowiązujących w Lasach Państwowych, jednakowych dla wszystkich najemców i odzwierciedla m.in. położenie i standard obiektu.

Decyzję o sprzedaży podejmuje nadleśniczy, w oparciu o ocenę przydatności lokalu dla gospodarki leśnej. Jakikolwiek wniosek o wykup nie ma najmniejszego wpływu na rozpoczęcie tej procedury. Sprzedaż lokali Lasów Państwowych o wartości szacunkowej wyższej niż 150 tys. zł jest możliwa. Właśnie wartość szacunkowa, ustalona przez rzeczoznawcę majątkowego, została podana w zestawieniu udostępnionym przez Ministra Klimatu i Środowiska, a następnie przytaczanym w prostowanym artykule. Wewnętrzne limity Lasów Państwowych dotyczą wartości księgowej netto".

Niejawne posiedzenie Sejmu. Włodzimierz Cimoszewicz mówi, co za tym stoi

Wybrane dla Ciebie
Podwójny atak na przemytników. Trump sugeruje, że nic nie wiedział
Podwójny atak na przemytników. Trump sugeruje, że nic nie wiedział
Co, gdyby w Polsce doszłoby do blackoutu? Wiadomo, ile by kosztował
Co, gdyby w Polsce doszłoby do blackoutu? Wiadomo, ile by kosztował
Jest porozumienie ws. wycofania importu rosyjskiego gazu. Padła data
Jest porozumienie ws. wycofania importu rosyjskiego gazu. Padła data
"Le Figaro": USA i Rosja chcą pokoju "z korzyścią dla każdego z nich"
"Le Figaro": USA i Rosja chcą pokoju "z korzyścią dla każdego z nich"
ABW rozbiła siatkę "kamerkowców". Wydano list gończy za szefem
ABW rozbiła siatkę "kamerkowców". Wydano list gończy za szefem
Dożywocie za mord szwagierki. Sąd: motywem były pobudki seksualne
Dożywocie za mord szwagierki. Sąd: motywem były pobudki seksualne
Ukrywała ukraińskich żołnierzy. Skazana na 16 lat kolonii karnej
Ukrywała ukraińskich żołnierzy. Skazana na 16 lat kolonii karnej
Trump krytykuje imigrantów z Somalii. "Nie chcę ich w naszym kraju"
Trump krytykuje imigrantów z Somalii. "Nie chcę ich w naszym kraju"
Nawrocki komentuje słowa Tuska. "Mam nadzieję, że przeprosi Polaków"
Nawrocki komentuje słowa Tuska. "Mam nadzieję, że przeprosi Polaków"
Zakończone spotkanie na Kremlu. Doradca Putina zabrał głos
Zakończone spotkanie na Kremlu. Doradca Putina zabrał głos
Spotkanie delegacji USA z Putinem. Zakończono rozmowy na Kremlu
Spotkanie delegacji USA z Putinem. Zakończono rozmowy na Kremlu
Wyniki Lotto 02.12.2025 – losowania Eurojackpot, Lotto, Lotto Plus, Multi Multi, Ekstra Pensja, Kaskada, Mini Lotto
Wyniki Lotto 02.12.2025 – losowania Eurojackpot, Lotto, Lotto Plus, Multi Multi, Ekstra Pensja, Kaskada, Mini Lotto