Matura 2021. Matematyka rozszerzona - arkusze i odpowiedzi. Sprawdź, czy zdasz

We wtorek 11 maja maturzyści zmierzyli się z nieobowiązkowym egzaminem z matematyki na poziomie rozszerzonym. Wirtualna Polska zebrała poprawne odpowiedzi na maturalne pytania. Sprawdź, jak ci poszło.

Matura 2021. Matematyka rozszerzona - arkusze i odpowiedzi.Matura 2021. Matematyka rozszerzona - arkusze i odpowiedzi.
Źródło zdjęć: © Materiały WP
oprac.  MDR

/ 15Matura 2021. Matematyka rozszerzona - arkusze i odpowiedzi. Sprawdź, czy zdasz

Matura 2021. Matematyka rozszerzona - arkusze i odpowiedzi.
Matura 2021. Matematyka rozszerzona - arkusze i odpowiedzi. © Materiały WP

Propozycje rozwiązań przygotowane przez naszego eksperta Dariusza Kulmę. Więcej informacji: www.dariuszkulma.elitmat.pl.

/ 15Matura 2021. Matematyka rozszerzona - arkusze i odpowiedzi. Sprawdź, czy zdasz

Matura 2021. Matematyka rozszerzona - arkusze i odpowiedzi.
Matura 2021. Matematyka rozszerzona - arkusze i odpowiedzi. © Materiały WP

Propozycje rozwiązań przygotowane przez naszego eksperta Dariusza Kulmę. Więcej informacji: www.dariuszkulma.elitmat.pl.

/ 15Matura 2021. Matematyka rozszerzona - arkusze i odpowiedzi. Sprawdź, czy zdasz

Matura 2021. Matematyka rozszerzona - arkusze i odpowiedzi.
Matura 2021. Matematyka rozszerzona - arkusze i odpowiedzi. © Materiały WP

Propozycje rozwiązań przygotowane przez naszego eksperta Dariusza Kulmę. Więcej informacji: www.dariuszkulma.elitmat.pl.

/ 15Matura 2021. Matematyka rozszerzona - arkusze i odpowiedzi. Sprawdź, czy zdasz

Matura 2021. Matematyka rozszerzona - arkusze i odpowiedzi.
Matura 2021. Matematyka rozszerzona - arkusze i odpowiedzi. © Materiały WP

Propozycje rozwiązań przygotowane przez naszego eksperta Dariusza Kulmę. Więcej informacji: www.dariuszkulma.elitmat.pl.

/ 15Matura 2021. Matematyka rozszerzona - arkusze i odpowiedzi. Sprawdź, czy zdasz

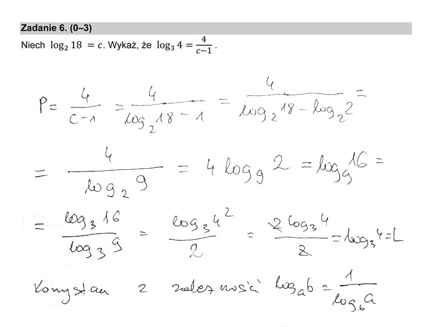
Matura 2021. Matematyka rozszerzona - arkusze i odpowiedzi.
Matura 2021. Matematyka rozszerzona - arkusze i odpowiedzi. © Materiały WP

Propozycje rozwiązań przygotowane przez naszego eksperta Dariusza Kulmę. Więcej informacji: www.dariuszkulma.elitmat.pl.

/ 15Matura 2021. Matematyka rozszerzona - arkusze i odpowiedzi. Sprawdź, czy zdasz

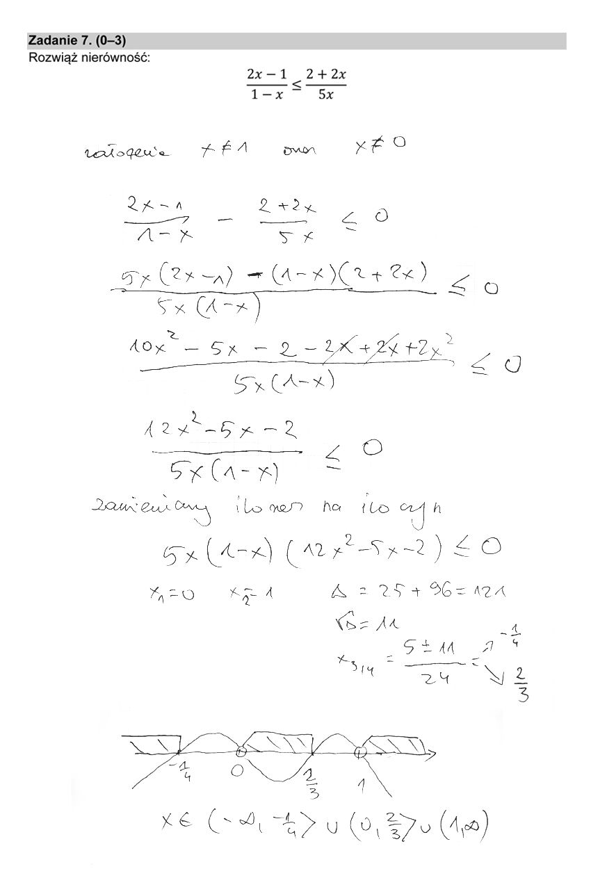
Matura 2021. Matematyka rozszerzona - arkusze i odpowiedzi.
Matura 2021. Matematyka rozszerzona - arkusze i odpowiedzi. © Materiały WP

Propozycje rozwiązań przygotowane przez naszego eksperta Dariusza Kulmę. Więcej informacji: www.dariuszkulma.elitmat.pl.

/ 15Matura 2021. Matematyka rozszerzona - arkusze i odpowiedzi. Sprawdź, czy zdasz

Matura 2021. Matematyka rozszerzona - arkusze i odpowiedzi.
Matura 2021. Matematyka rozszerzona - arkusze i odpowiedzi. © Materiały WP

Propozycje rozwiązań przygotowane przez naszego eksperta Dariusza Kulmę. Więcej informacji: www.dariuszkulma.elitmat.pl.

/ 15Matura 2021. Matematyka rozszerzona - arkusze i odpowiedzi. Sprawdź, czy zdasz

Matura 2021. Matematyka rozszerzona - arkusze i odpowiedzi
Matura 2021. Matematyka rozszerzona - arkusze i odpowiedzi © Materiały WP

Propozycje rozwiązań przygotowane przez naszego eksperta Dariusza Kulmę. Więcej informacji: www.dariuszkulma.elitmat.pl.

/ 15Matura 2021. Matematyka rozszerzona - arkusze i odpowiedzi. Sprawdź, czy zdasz

Matura 2021. Matematyka rozszerzona - arkusze i odpowiedzi
Matura 2021. Matematyka rozszerzona - arkusze i odpowiedzi © Materiały WP

Propozycje rozwiązań przygotowane przez naszego eksperta Dariusza Kulmę. Więcej informacji: www.dariuszkulma.elitmat.pl.

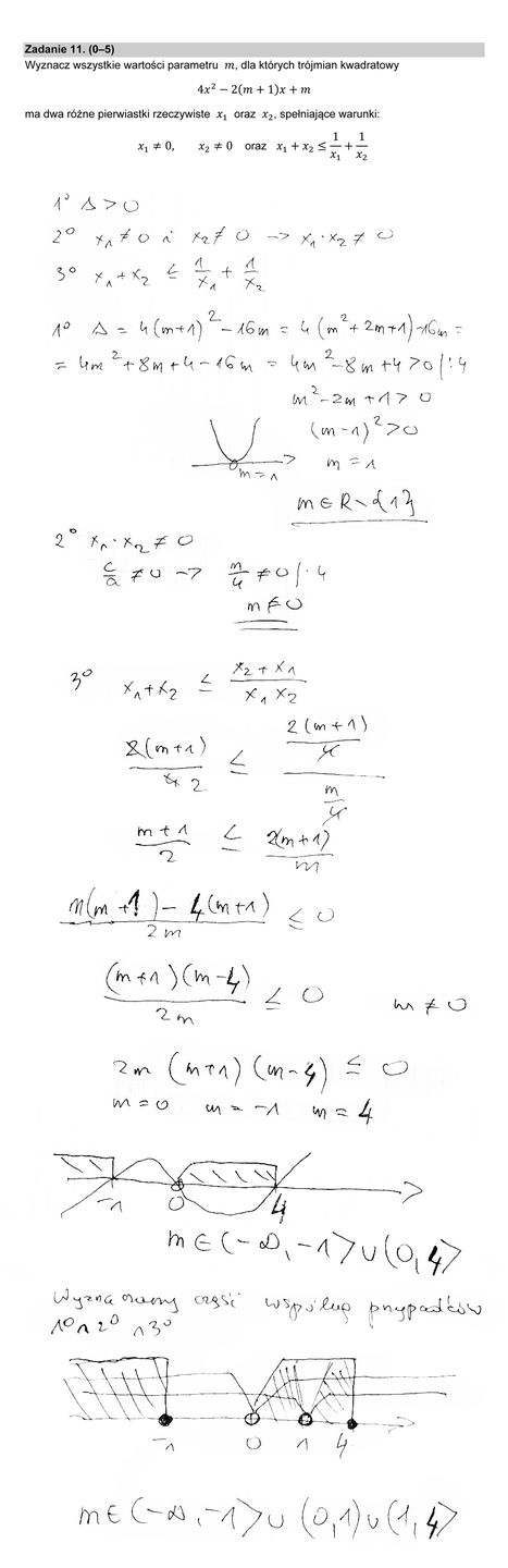
10 / 15Matura 2021. Matematyka rozszerzona - arkusze i odpowiedzi. Sprawdź, czy zdasz

Matura 2021. Matematyka rozszerzona - arkusze i odpowiedzi.
Matura 2021. Matematyka rozszerzona - arkusze i odpowiedzi. © Materiały WP

Propozycje rozwiązań przygotowane przez naszego eksperta Dariusza Kulmę. Więcej informacji: www.dariuszkulma.elitmat.pl.

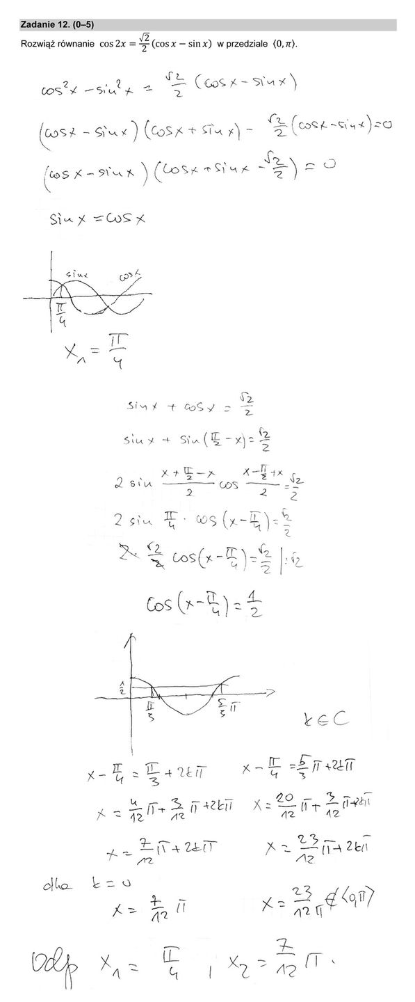
11 / 15Matura 2021. Matematyka rozszerzona - arkusze i odpowiedzi. Sprawdź, czy zdasz

Matura 2021. Matematyka rozszerzona - arkusze i odpowiedzi
Matura 2021. Matematyka rozszerzona - arkusze i odpowiedzi © Materiały WP

Propozycje rozwiązań przygotowane przez naszego eksperta Dariusza Kulmę. Więcej informacji: www.dariuszkulma.elitmat.pl.

12 / 15Matura 2021. Matematyka rozszerzona - arkusze i odpowiedzi. Sprawdź, czy zdasz

Matura 2021. Matematyka rozszerzona - arkusze i odpowiedzi
Matura 2021. Matematyka rozszerzona - arkusze i odpowiedzi © Materiały WP

Propozycje rozwiązań przygotowane przez naszego eksperta Dariusza Kulmę. Więcej informacji: www.dariuszkulma.elitmat.pl.

13 / 15Matura 2021. Matematyka rozszerzona - arkusze i odpowiedzi. Sprawdź, czy zdasz

Matura 2021. Matematyka rozszerzona - arkusze i odpowiedzi
Matura 2021. Matematyka rozszerzona - arkusze i odpowiedzi © Materiały WP

Propozycje rozwiązań przygotowane przez naszego eksperta Dariusza Kulmę. Więcej informacji: www.dariuszkulma.elitmat.pl.

14 / 15Matura 2021. Matematyka rozszerzona - arkusze i odpowiedzi. Sprawdź, czy zdasz

Matura 2021. Matematyka rozszerzona - arkusze i odpowiedzi
Matura 2021. Matematyka rozszerzona - arkusze i odpowiedzi © Materiały WP

Propozycje rozwiązań przygotowane przez naszego eksperta Dariusza Kulmę. Więcej informacji: www.dariuszkulma.elitmat.pl.

15 / 15Matura 2021. Matematyka rozszerzona - arkusze i odpowiedzi. Sprawdź, czy zdasz

Matura 2021. Matematyka rozszerzona - arkusze i odpowiedzi
Matura 2021. Matematyka rozszerzona - arkusze i odpowiedzi © Materiały WP

Propozycje rozwiązań przygotowane przez naszego eksperta Dariusza Kulmę. Więcej informacji: www.dariuszkulma.elitmat.pl.

Źródło artykułu: WP Wiadomości
Wybrane dla Ciebie
Ukrywała ukraińskich żołnierzy. Skazana na 16 lat kolonii karnej
Ukrywała ukraińskich żołnierzy. Skazana na 16 lat kolonii karnej
Trump krytykuje imigrantów z Somalii. "Nie chcę ich w naszym kraju"
Trump krytykuje imigrantów z Somalii. "Nie chcę ich w naszym kraju"
Nawrocki komentuje słowa Tuska. "Mam nadzieję, że przeprosi Polaków"
Nawrocki komentuje słowa Tuska. "Mam nadzieję, że przeprosi Polaków"
Zakończone spotkanie na Kremlu. Doradca Putina zabrał głos
Zakończone spotkanie na Kremlu. Doradca Putina zabrał głos
Spotkanie delegacji USA z Putinem. Zakończono rozmowy na Kremlu
Spotkanie delegacji USA z Putinem. Zakończono rozmowy na Kremlu
Wyniki Lotto 02.12.2025 – losowania Eurojackpot, Lotto, Lotto Plus, Multi Multi, Ekstra Pensja, Kaskada, Mini Lotto
Wyniki Lotto 02.12.2025 – losowania Eurojackpot, Lotto, Lotto Plus, Multi Multi, Ekstra Pensja, Kaskada, Mini Lotto
Trump zapowiedział. "Wkrótce rozpoczynamy ataki na cele w Wenezueli"
Trump zapowiedział. "Wkrótce rozpoczynamy ataki na cele w Wenezueli"
Trump powiedział wprost. Nie będzie pomocy dla Ukrainy
Trump powiedział wprost. Nie będzie pomocy dla Ukrainy
Fala krytyki po wecie prezydenta. Szef kancelarii broni Nawrockiego
Fala krytyki po wecie prezydenta. Szef kancelarii broni Nawrockiego
Nietypowa kradzież. Mężczyzna u jubilera połknął naszyjnik Fabergé
Nietypowa kradzież. Mężczyzna u jubilera połknął naszyjnik Fabergé
"Podjął Pan decyzję". Rzecznik rządu uderza w prezydenta
"Podjął Pan decyzję". Rzecznik rządu uderza w prezydenta
Wysłannicy Trumpa rozmawiają z Putinem i Zełenskim
Wysłannicy Trumpa rozmawiają z Putinem i Zełenskim