WAŻNE
TERAZ

Tajne posiedzenie w Sejmie. Wiemy, jaki temat chce poruszyć premier

Widać jak na dłoni, ile majątku ma Tusk. Jest oświadczenie

Donald Tusk posiada oszczędności zarówno w złotówkach, jak i w euro. Pobiera emeryturę z Komisji Europejskiej oraz z ZUS-u. Znaczną część jego dochodów w 2022 roku stanowiła też praca dla Europejskiej Partii Ludowej oraz środki uzyskane za prawa autorskie - wynika z jego oświadczenia majątkowego.

llWidać jak na dłoni, ile majątku ma Tusk. Jest oświadczenie
Źródło zdjęć: © East News
Maciej Zubel
oprac.  Maciej Zubel

Na stronach sejmowych pojawiły się oświadczenia majątkowe polityków za 2022 rok. Informacjami o swoich oszczędnościach i nieruchomościach podzielił się m.in. Donald Tusk, który po kilkuletniej przerwie znowu został posłem.

Tusk wskazał w oświadczeniu, że jego głównym zajęciem w 2022 roku była praca jako przewodniczący Platformy Obywatelskiej.

Obiad jak u mamy. Karkówkę w marynacie układam na kiszonej kapuście i wkładam do piekarnika

Lider PO oświadczył, że jego oszczędności to 112 tys. złotych oraz 285 tys. euro. (około 1 mln 231 tys. zł). Łącznie Tusk oszczędził zatem 1 343 200 złotych. Ponadto posiada polisy na życie: o wartości 300 tys. złotych i 70 tys. złotych oraz polisę na dożycie o wartości 70 tys. złotych.

Fragment oświadczenia majątkowego Donalda Tuska.
Fragment oświadczenia majątkowego Donalda Tuska. © Sejm

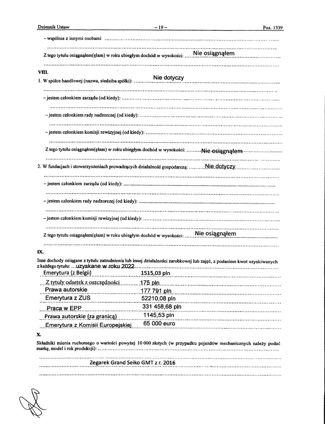
66-letni polityk wskazał, że pobiera też świadczenia emerytalne. W 2022 roku otrzymał z ZUS-u 52,2 tys. zł, a przysługująca mu emerytura belgijska to zaledwie 1,5 tys. złotych.

Ponadto z tytułu pracy wykonywanej w Brukseli, Komisja Europejska w ubiegłym roku wypłaciła Tuskowi w ramach świadczenia emerytalnego 65 tys. euro, a Europejska Partia Ludowa - 331,4 tys. złotych.

Fragment oświadczenia majątkowego Donalda Tuska.
Fragment oświadczenia majątkowego Donalda Tuska. © Sejm

Tusk jest też autorem kilku książek. Na prawach autorskich w 2022 roku zarobił w kraju 177,7 tys. złotych, a za granicą - 1,1 tys zł. W oświadczeniu majątkowym wpisał też zegarek Grand Seiko GMT z 2016 roku.

Fragment oświadczenia majątkowego Donalda Tuska.
Fragment oświadczenia majątkowego Donalda Tuska. © Sejm

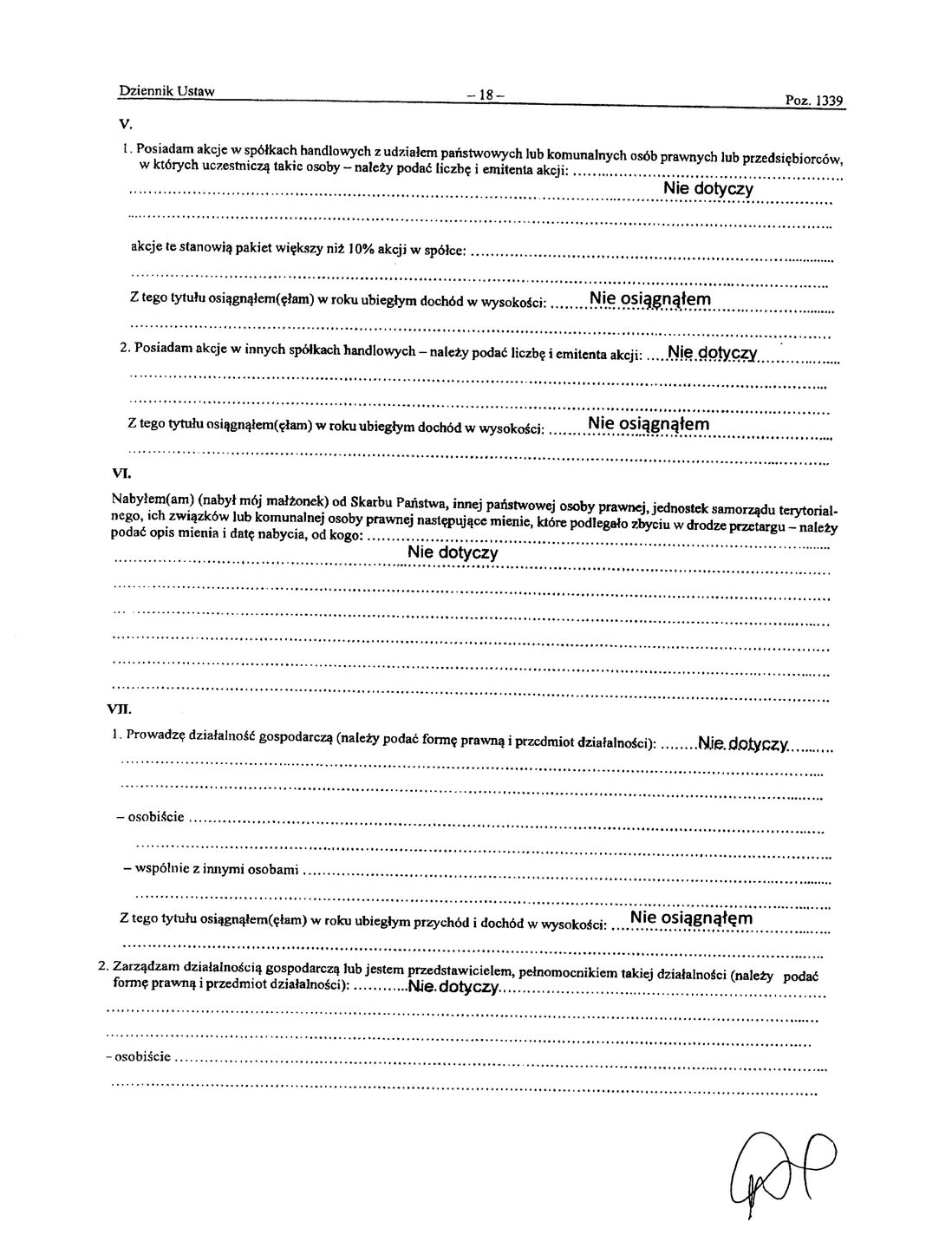
Tusk nie ma domu, ani mieszkania

Szef PO zadeklarował ponadto, że nie jest właścicielem, ani współwłaścicielem domu czy mieszkania. Nie prowadzi też gospodarstwa rolnego, ani działalności gospodarczej. Nie ma również udziałów w żadnej państwowej spółce.

Tusk nie posiada ponadto żadnych zobowiązań: kredytów czy pożyczek.

Fragment oświadczenia majątkowego Donalda Tuska.
Fragment oświadczenia majątkowego Donalda Tuska. © Sejm

Przeczytaj też:

Źródło: Sejm

Wybrane dla Ciebie
Niemieckie Eurofightery w Malborku. To odpowiedź Bundeswehry
Niemieckie Eurofightery w Malborku. To odpowiedź Bundeswehry
Afera korupcyjna w UE. Była wiceszefowa KE rezygnuje ze stanowiska
Afera korupcyjna w UE. Była wiceszefowa KE rezygnuje ze stanowiska
Nie żyje Leszek Gierszewski, założyciel firmy Drutex
Nie żyje Leszek Gierszewski, założyciel firmy Drutex
Nawet 14 stopni na termometrach. Idzie ocieplenie
Nawet 14 stopni na termometrach. Idzie ocieplenie
Tajne przemówienie Tuska w Sejmie. Wiemy, czego może dotyczyć
Tajne przemówienie Tuska w Sejmie. Wiemy, czego może dotyczyć
Miał wspierać Ukrainę. Rosyjski fizyk spędzi lata w kolonii karnej
Miał wspierać Ukrainę. Rosyjski fizyk spędzi lata w kolonii karnej
Ponura prognoza. Dmytro Kuleba zaniepokojony perspektywami dla Ukrainy
Ponura prognoza. Dmytro Kuleba zaniepokojony perspektywami dla Ukrainy
"Wielki Bu" chciał wyjść na wolność. Jest decyzja sądu
"Wielki Bu" chciał wyjść na wolność. Jest decyzja sądu
Biedronka rozdaje pracowniom świąteczne vouchery. Kwoty robią wrażenie
Biedronka rozdaje pracowniom świąteczne vouchery. Kwoty robią wrażenie
Nauczyciel miał obrażać, a uczniowie bić Ukraińców. Wstrząsająca historia ze Słupska
Nauczyciel miał obrażać, a uczniowie bić Ukraińców. Wstrząsająca historia ze Słupska
Tajne obrady Sejmu ws. bezpieczeństwa. Szef MON zabrał głos
Tajne obrady Sejmu ws. bezpieczeństwa. Szef MON zabrał głos
Ekstremalne mrozy w Rosji. Zimniej niż na Antarktydzie
Ekstremalne mrozy w Rosji. Zimniej niż na Antarktydzie